¿ES HORA DE PREOCUPARNOS POR LAS EXPECTATIVAS DE INFLACIÓN?
/¿ES HORA DE PREOCUPARNOS POR LAS EXPECTATIVAS DE INFLACIÓN?
Juan Camilo Pardo Niño
Estudiante de Economía
Universidad de los Andes
Periódicos renombrados a nivel mundial, entre los que se encuentran The New York Times, The Guardian o BBC News, debatieron el clima de tensión en mercados emergentes como Argentina y Turquía. Durante los últimos meses de 2018 se publicaron numerosas noticias enmarcando la crisis que dichas economías vienen sufriendo. Por un lado, Argentina en un ambiente de incertidumbre. Mientras que el Banco Central elevó las tasas a un 60% con el fin de controlar la inflación, el Gobierno del presidente Mauricio Macri, solicitó prestamos al Fondo Monetario Internacional por un monto de 50 miles de millones de dolares para reducir los niveles de deuda (The Guardian, 2018). Sin embargo Turquía no se queda atrás. La última decisión que tomó para intentar controlar los niveles de inflación fue subir la tasa de interés de 17.75% a 24% debido al clima de recesión y salida de capitales que está sufriendo el país, así como la pérdida de valor de la Lira. Igual que como ocurrió en Argentina, esta medida -de subir la tasa de interés- se tomó con el fin de preservar el poder de compra de los ciudadanos residentes, para así disminuir los niveles de inflación y frenar su impacto en demás indicadores económicos.
Tratando el tema de inflación, se debe tener en cuenta que un factor primordial de ésta reside en las expectativas inflacionarias que forman los agentes económicos. Ben Bernanke (1997) afirmó que controlar las expectativas de inflación es un prerrequisito fundamental para controlar la inflación. En palabras sencillas, las expectativas inflacionarias atañen el incremento de los precios dentro de una economía que los productores, consumidores, trabajadores, etc., piensan que predominará en el futuro, incidiendo sobre sus decisiones económicas. Es por ello que las expectativas han venido tomando importancia durante los últimos años y las autoridades monetarias velan porque su anclaje aporte a la estabilidad de precios. Teniendo esto en cuenta, el artículo pretende demostrar que es fundamental que el Banco Central fomente su credibilidad, con el fin de preservar la capacidad adquisitiva de la moneda por medio de las expectativas inflacionarias y su anclaje a la meta de inflación.
El propósito es brindarle al lector un panorama en el cual, las expectativas de inflación afectan directamente la inflación futura, analizando esto para el contexto nacional, las propiedades de las expectativas y la forma en la que la autoridad monetaria actúa para anclar éstas a la inflación objetivo. Sin embargo, este documento no solo se va a centrar en si las expectativas están ancladas o no –debido a que algunos documentos lo confirman-, sino que va a evaluar el posible choque inesperado de algunas variables sobre el cambio en su composición. Para hacer esto posible, el texto va a estar dividido en 4 partes. La primera expondrá la importancia de las expectativas dentro del marco económico nacional. La segunda será una revisión bibliográfica. En la tercera se propondrá y evaluará un modelo VAR para analizar el caso de las expectativas. Por último, se presentarán las conclusiones.
Antes que nada, se debe tener en cuenta que la inflación es primordial a la hora de definir la política monetaria. Para el caso colombiano esto es claro, tal como lo fija el Banco de la República enmarcando que: “la política monetaria en Colombia se rige por un esquema de Inflación Objetivo, cuyo propósito es mantener una tasa de inflación baja y estable, y alcanzar un crecimiento del producto” (Banco de la República, 2018). Por esa razón es importante que todo ciudadano tenga conocimiento (al menos básico) acerca de cuáles canales tienen la capacidad de modificar la inflación.
Uno de dichos canales son las expectativas inflacionarias. Numerosos documentos han tratado este tema, debido a la importancia que adquiere dentro de un contexto económico donde predomina la incertidumbre y donde las instituciones juegan un rol clave. Según González, et al. (2010), las expectativas de inflación son importantes debido a que se traducen en tres canales hacia la inflación total: la curva de Phillips, la tasa de interés real y el canal de salarios. Por esto es que es fundamental anclar las expectativas, con el fin de volver más predecible la evolución futura de precios y salarios, facilitar la conducción de la política monetaria y reducir los costos de disminuir la inflación.
Según Melo, et al (2016) en la tierra del café las expectativas de inflación se han venido anclando a lo largo de las últimas dos décadas, llevando a tener una mayor credibilidad en la autoridad monetaria. Asimismo, Huertas, et al (2015) demuestra que las expectativas se forman de manera adaptativa y no racional, en donde la meta de inflación ha ganado credibilidad, a pesar de que una gran parte de la población forme sus expectativas teniendo en cuenta únicamente la información pasada. Por último, Demertzis (2012) concluye que en regímenes creíbles no hay conexión entre la inflación y las expectativas de inflación –las expectativas están ancladas- utilizando datos correspondientes a Estados Unidos.
En cuanto a la información previa, y sabiendo que las expectativas de inflación son uno de los principales determinantes de la inflación futura, es de gran relevancia estudiar qué las determina. Para ello, se propone un modelo VAR con el fin de evaluar el comportamiento de las expectativas de inflación y la incidencia de algunas variables sobre esta. Por consiguiente, se tomó la encuesta trimestral de expectativas de inflación realizada por el Banco de la República, la cual evalúa las expectativas de diversos agentes de la economía, entre los que se encuentran: intermediarios financieros, cadenas de almacenes, transporte y comunicaciones, industria y sindicatos de las cuatro principales ciudades del país.
Gráfico 1: Inflación observada y expectativas de inflación a 12 meses
Fuente: Banco de la República, 2018. Elaboración propia.
La anterior gráfica muestra que efectivamente las expectativas se han venido anclando al objetivo de la autoridad monetaria (exceptuando los períodos resaltados) la cual actualmente se encuentra entre un rango de 2% a 4%, evidenciando una vez más la credibilidad del Banco de la República por los agentes, y su meta de inflación.
Debido a que se pretende mostrar la importancia de las expectativas de una manera sencilla, las pruebas estadísticas correspondientes al modelo se encuentran en la sección de anexos –con sus explicaciones y resultados-. De esta manera y antes de entrar a analizar cómo se ven afectadas las expectativas, se van a exponer una serie de ejemplos que resalten su importancia en las decisiones de política monetaria.
El 11 de mayo de 2016, German Verdugo en la Revista Dinero publicó La importancia de las expectativas de inflación. Según su artículo, las expectativas inflacionarias fueron el “principal factor que condujo a un aumento de medio punto porcentual (0.50%) en la tasa de intervención a finales de abril” (Verdugo, 2016). Esto lleva a preguntarse: ¿siendo un factor que afecta directamente las decisiones de intervención del emisor, ¿qué se debería hacer para que esto no perjudique la estabilidad de precios? Hale Stewart, el 9 de noviembre de 2017 resaltó que una inflación controlada por el Banco Central con expectativas bien ancladas se encarga de propiciar un clima favorable de confianza e inversión.
Por consiguiente, el modelo propuesto corresponde a un VAR (sección anexos). Esto es debido a las interacciones simultaneas que existe entre la inflación rezagada, la inflación actual, la tasa de intervención y las expectativas inflacionarias. Según la literatura consultada y los resultados empíricos que arrojó el modelo, dichas variables poseen una relación que se trasmite a lo largo de un determinado número de periodos. Por ejemplo, es de esperarse que la inflación rezagada transmita un impacto sobre las expectativas de inflación del siguiente periodo o que un choque de las tasas de interés cambie temporalmente el comportamiento de las expectativas. Sin embargo, también es de esperarse que un choque sobre las expectativas inflacionarias impacte la inflación futura, llevando a afectar la tasa del Banco de la República. Es por ello que se dice que existen interacciones simultáneas entre las variables. Con esto en mente, las siguientes gráficas muestran cómo responden las expectativas de inflación a un choque inesperado de las demás variables.
Como es de esperarse, un choque inesperado sobre la inflación lleva a un aumento de las expectativas inflacionarias durante aproximadamente 6 períodos, así como un choque inesperado sobre la inflación rezagada tiene el mismo efecto. Sin embargo, tanto la periodicidad como la magnitud del impacto son distintos debido a la mayor importancia que adquiere la inflación actual sobre el comportamiento de los agentes que la inflación de períodos previos. Cabe resaltar que la magnitud de los choques se debe interpretar en desviaciones estandar. Según esto se puede decir que, los agentes pertenecientes a la muestra a la hora de formar sus expectativas también se preocupan por los eventos pasados. Por otro lado, un choque inesperado sobre la tasa de intervención lleva a una reducción de las expectativas. Como es de esperarse, en un escenario en el cual el Banco Central sube las tasas de interés, el consumo se reduce –disminución de la demanda-, permaneciendo los precios de los bienes y servicios en niveles bajos, llevando a unas menores expectativas de inflación. Sin embargo y a pesar de que los choques inesperados tengan un efecto sobre las expectativas, estos únicamente son a corto plazo ya que se desvanecen rápidamente –sin tener un efecto permanente-.
Por otro lado, en la tabla correspondiente a la descomposición de la varianza, se puede ver que las variables que más explican la varianza de las expectativas son la inflación observada y la inflación rezagada, siendo de gran importancia mantener estable el nivel de precios dentro de la economía con el fin de anclar las expectativas al objetivo del Banco de la República. Por ejemplo, la varianza de las expectativas está explicada en un 95% por la inflación observada para el periodo 1 y la varianza de las expectativas está explicada en un 4.5% por la tasa de intervención para el periodo 2. Sin embargo, para los siguientes períodos, la capacidad de explicación va de manera descendente – choque temporal-. Esto podría llevar a pensar que los agentes poseen expectativas adaptativas, ya que se basan en la información pasada para tomar sus decisiones. Sin embargo, y tal como se presentó previamente, las expectativas parecen estar ancladas a la meta de inflación del Banco de la República, por lo que se puede decir que existen demás variables no incluidas en el modelo (anuncios del Banco, noticias, publicidad) que hacen que los agentes formen también sus expectativas racionalmente –usando toda la información disponible para formar sus expectativas inflacionarias-.
Igualmente, hay evidencia estadística para decir que la inflación observada causa en el sentido de Granger a las expectativas, al igual que las expectativas causa en el sentido de Granger a la inflación observada. Esto representa una doble causalidad en donde los individuos forman sus expectativas de manera adaptativa –en parte- y por ello, utilizan la información recibida para formarlas. Asimismo, y como se dijo previamente, las expectativas también son un determinante de la inflación observada, por lo que su doble causalidad es fundamentada.
Por último, hay evidencia suficiente para concluir que las expectativas de inflación para la muestra tomada por el Banco de la República pueden ser afectadas por algunas variables, llevando a la posibilidad de producir un desequilibrio en el nivel general de precios de la economía. Sin embargo, su anclaje a largo plazo hacia la meta de inflación ha hecho que la credibilidad en las decisiones del Banco de la República sea efectiva, llevando a la preservación de la capacidad adquisitiva de la moneda. No obstante, es fundamental que el emisor continúe fomentando su credibilidad mediante la transparencia y la divulgación de información relevante que ayude a formar las expectativas de inflación de los agentes de manera efectiva.
Bibliografía
- Banco de la República (2018). Política Monetaria: La estrategia de inflación objetivo en Colombia. Recuperado el 18 de septiembre de 2018 de la página web http://www.banrep.gov.co/es/politica-monetaria
- Bernanke, B. (1997). Inflation Targeting: A New Framework for Monetary Policy? Journal of Economic Perspectives. Volume 11, Number 2. Pages 97-116.
- Cerisola, et al (2005). What Drives Inflation Expectations in Brazil? An Empirical Analysis. Recuperado el 17 de septiembre de 2018 de la página web https://www.imf.org/external/pubs/ft/wp/2005/wp05109.pdf
- Deversi, M. (2014) ¿Do macroeconomic shocks affect intuitive inflation forecasting? Recuperado el 17 de septiembre de 2018 de la página web http://www.rwiessen.de/media/content/pages/publikationen/ruhr-economic-papers/REP_14_528.pdf
- Demertzis, et al (2012) A credibility Proxy: Tracking US Monetary Developments. Recuperado el 15 de septiembre de 2018 de la página web https://www.degruyter.com/downloadpdf/j/bejm.2012.12.issue-1/1935-1690.2442/1935-1690.2442.pdf
- Galati, et al. (2011). Did the Crisis Affect Inflation Expectations? Recuperado el 17 de septiembre de 2018 de la página web https://www.ijcb.org/journal/ijcb11q1a8.pdf
- González, et al (2010). Inflación y expectativas de inflación en Colombia. Recuperado el 15 de septiembre de 2018 de la página web http://www.banrep.gov.co/sites/default/files/publicaciones/pdfs/borra618.pdf
- Huertas, et al (2015). La formación de expectativas de inflación en Colombia. Recuperado el 17 de septiembre de 2018 de la página web http://www.banrep.gov.co/sites/default/files/publicaciones/archivos/be_880.pd
- Inman, P. (2018). Argentina, Turkey, México…fear of contagion haunts emerging markets. Recuperado el 15 de septiembre de 2018 de la página web https://www.theguardian.com/business/2018/sep/08/emerging-economies-crisis-looms-shadow-america-boom-interest-rates
- Mehra, et al. (2008). On the Sources of Movements in Inflation Expectations: A Few Insights from a VAR Model. Recuperado el 17 de septiembre de 2018 de la página web https://www.richmondfed.org/~/media/richmondfedorg/publications/research/economic_quarterly/2008/spring/pdf/mehra_herrington.pdf
- Melo, et al. (2016)¿Están ancladas las expectativas de inflación en Colombia? Recuperado el 16 de septiembre de 2018 de la página web http://www.banrep.gov.co/sites/default/files/publicaciones/archivos/be_940.pd
- Stewart, H. (2017). This is Why Inflation Expectations Are So Important. Recuperado el 18 de septiembre de 2018 de la página web https://seekingalpha.com/article/4123112-inflation-expectations-important
- Thomas, L. (2018). Why Turkey´s Crisis Feels Familiar for Emerging Markets: It is the Debt. Recuperado el 15 de septiembre de 2018 de la página web https://www.nytimes.com/2018/08/15/business/turkey-financial-crisis-emerging-markets.html
- Ueda, K. (2009). Determinants of Households inflation expectations. Recuperado el 16 de septiembre de 2018 de la página web https://www.imes.boj.or.jp/research/papers/english/09-E-08.pdf
- Verdugo, G. (2016). La importancia de las expectativas de inflación. Recuperado el 18 de septiembre de 2018 de la página web https://www.dinero.com/opinion/columnistas/articulo/la-importancia-de-las-expectativas-de-inflacion-por-german-verdugo/223486
ANEXOS: Pruebas y desarrollo del modelo. Explicación.
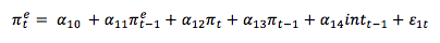
El modelo planteado es el siguiente:
El orden de las variables se definió revisando literatura y principalmente, ayudándose del documento On the Sources of Movements in Inflation Expectations: A Few Insights from a VAR Model. De allí es de donde se extrajo la información necesaria para darle robustez al modelo, según el ordenamiento propuesto por Cholesky. Este ordenamiento establece la forma en cómo se deben organizar las variables (de la más exógena a las más endógena). Esto con el fin de darle robustez al modelo y a obtener los resultados esperados.
El filtro de Hodrick-Prescot es un método que sirve para extraer el componente secular de una serie de tiempo, descomponiendo la serie en dos componentes: tendencial y cíclico. Tal como se puede ver en las gráficas, las tendencias de cada serie corresponden a la línea roja, mientras que la línea verde se encarga de presentar el ciclo.
Posterior a realizar la prueba de Dickey Fuller para todas las series, se rechaza la hipótesis nula en favor de la hipótesis alterna –se rechaza la presencia de raíz unitaria- a un nivel de significancia de 1%. Por lo tanto, se puede concluir que las cuatro series analizadas después de aplicar la diferencia del logaritmo, son estacionarias. Esto permite continuar con el análisis del modelo.
No se rechaza la hipótesis alterna en favor de la hipótesis nula a un nivel de significancia de 5%, por lo que se puede concluir que no hay autocorrelación para ningún rezago (en este caso, dos rezagos). Esto quiere decir que no existe autocorrelación serial, por lo que el modelo cumple esta importante propiedad
Esta prueba mide la estabilidad del modelo y según la evidencia estadística proporcionada, se puede decir que el modelo efectivamente es estable. Esto debido a que todos los Modulus toman un valor menor a 1. Esto mismo se puede ver reflejado en la imagen, ya que los puntos se encuentran dentro del círculo.
Tabla 2: Causalidad de Granger.
Hay evidencia estadística para decir que a un nivel de significancia de 5%, la inflación causa en el sentido de Granger a las expectativas. Asimismo, a un nivel de significancia de 5% las expectativas causan en el sentido de Granger a la inflación. Esto se discute de una mejor manera en el texto. Asimismo, hay evidencia estadística para decir que la inflacion rezagada causa en el sentido de Granger a la inflación y la inflación rezagada causa en el sentido de Granger a la tasa de intervención. Sin embargo, estos últimos dos resultados no son importantes para lo que se quiere analizar en el documento.
