Encuestas ¿Herramientas ciudadanas o de desinformación?
/Rafael Mosquera[1]
Subdirector de Finanzas
Estudiante de Economía y Derecho
Universidad de los Andes
Santiago Torres
Subdirector de Comunicaciones
Estudiante de Economía
Universidad de los Andes
En 1990, durante una conversación con Juan Gossain, el entonces candidato presidencial Álvaro Gómez Hurtado señalaba que “Las encuestas son como las morcillas; muy sabrosas, hasta que uno se entera cómo las hacen” (El Tiempo, 2002) Al respecto, es claro que las encuestas generan dudas en la percepción general que se tiene sobre los candidatos, e incluso logran influenciar las decisiones de los votantes. Pero ¿será que las personas del común se cuestionan sobre la veracidad de las mismas? Partiendo de esta pregunta, surge la duda de si estas encuestas, que tienen tanta influencia sobre el censo electoral, son confiables en términos estadísticos y si sus predicciones y resultados tienden a acertar. El objetivo de este artículo es profundizar en la manera en que las encuestas para elecciones públicas son realizadas, analizando su carácter estadístico a fin de determinar si los votantes pueden encontrar en ellas un medio de información confiable.
Las campañas presidenciales del 2018 han causado revuelo en términos mediáticos. Cada semana aparecen los resultados de una nueva encuesta, que sitúan a uno u otro candidato como ganador de las elecciones del 27 de mayo. Desde el 17 de mayo del año pasado hasta el 4 de febrero de este año, 20 encuestas (15 presenciales y 5 telefónicas) fueron realizadas por 7 diferentes empresas y patrocinadas por más de 11 medios radiales y audiovisuales. Para ahondar un poco en cómo se realizaron dichas encuestas, el número de personas que fueron encuestadas va desde 900 (todas las encuestas realizadas por DATEXCO y patrocinadas por W Radio) hasta 2813 (encuesta realizada por Cifras y Conceptos para Caracol Radio). A su vez, el margen de error en las mismas nunca es inferior al 2% ni superior al 4%.
Ahora bien, si dentro de nuestros objetivos está el determinar la fiabilidad de las encuestas, resulta necesario entender no solo la manera en que se hacen, sino también la forma en que deberían hacerse. Las encuestas se diseñan dentro del marco teórico de la estadística, la cual plantea una serie de parámetros metodológicos que son necesarios para que los resultados obtenidos sean representativos e insesgados[2]. En la formulación de una encuesta es necesario seguir una serie de etapas básicas. Las etapas son las siguientes: objetivos, diseño de la muestra, diseño de formulario, y recolección de datos.
En primer lugar, se debe definir el objetivo de la encuesta. Para esto es importante que los investigadores revisen la literatura relacionada, a fin de tener clara la teoría detrás de la investigación. Además, si los objetivos no se establecen claramente, la encuesta puede arrojar insumos y resultados que no corresponden a la pregunta general de la investigación.
El segundo paso consiste en realizar el diseño de la muestra. El universo o población se define como el conjunto completo de individuos. En el caso de las encuestas presidenciales el universo es el conjunto de ciudadanos colombianos que pueden votar. La muestra es un subconjunto del universo característico en calidad y en cantidad. Por un lado, una muestra representativa en calidad supone que esta refleja las características del universo. Por otro lado, representativo en cantidad significa que la muestra debe tener un tamaño suficientemente grande y proporcional al tamaño de la población. Los estimadores obtenidos a partir de la muestra se aproximan a los valores reales en la población si las características anteriores se cumplen, es decir si la muestra es representativa.
Todavía más, cuanto mayor sea la muestra, más precisos serán los resultados obtenidos. Como tal, para determinar el tamaño de una muestra, a fin de que sea representativa en cantidad, se deben tener en cuenta dos factores. En primer lugar, el porcentaje de confianza con el cual se quiere trabajar, que típicamente se establece con un nivel mínimo de 95%. En segundo lugar, el porcentaje de error que se pretende aceptar.
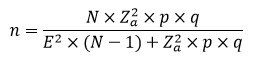
Según los parámetros escogidos para los factores anteriores, la fórmula estándar utilizada para determinar el tamaño de la muestra es:
En donde N = tamaño de la población, Z = nivel de confianza, p= probabilidad de éxito, o proporción esperada, q = probabilidad de fracaso, E = Error máximo admisible en términos de proporción. (Wackerly, 2008)
Adicional al tamaño de la muestra, un aspecto muy importante es la representatividad. En general, la característica más trascendente de una muestra es la representatividad, pues el muestreo obtiene sentido si garantiza que las características que se quieren observar en la población se expresan apropiadamente en la muestra (Rincón & Amal, 2003). En sí, si se preserva la representatividad, existe espacio para generalizar a la población los resultados obtenidos desde la muestra (Rincón & Amal, 2003). Así, la muestra utilizada debe reflejar la realidad de la población. De no ser así, esta arrojaría valores que no corresponden a aquellos de la población real y, en este caso, estaría sesgada.
Finalmente, para terminar con la etapa de diseño, es necesario establecer el tipo de muestreo. Esto es la forma en la que se seleccionará la muestra. El método más común es la selección aleatoria, ya que cada miembro de la población tiene la misma oportunidad de ser incluido en la muestra. Sin embargo, esto puede resultar problemático, pues no se puede asegurar que los resultados obtenidos sean representativos para la población. Para corregir este problema existe el muestreo aleatorio estratificado, en donde se divide la población por sectores y se distribuye el tamaño de forma proporcional al tamaño del universo. Este método garantiza una mayor cobertura de los diferentes sectores de la población y con ello mayor representatividad (Álvarez, 2010)
El tercer paso consiste en redactar el formulario de preguntas. Para esto es importante que sean preguntas muy claras, con un lenguaje sencillo y neutral, para evitar confusiones y sugestiones.
El último paso consiste en la realización de las encuestas y en la recopilación de los datos. El método utilizado deberá ser el que se ajuste de mejor manera al objetivo buscado. En este sentido, un método que tiene ventajas es la encuesta personal. Este facilita la cooperación de las personas, tiene un elevado índice de respuesta y permite realizar encuestas largas. Sin embargo, tiene muchos inconvenientes como el costo y la dificultad de acceso para algunas poblaciones (Gallego, 2005). Por otro lado, la encuesta telefónica es un método que tiene ventajas en términos de costos y facilidad, pero tiene fuertes desventajas en términos de veracidad y representatividad, pues existen individuos no tienen acceso al teléfono.
Ahora bien, para determinar qué tan confiables resultan las encuestas, y puesto que aún no se conoce el resultado de las elecciones venideras, será necesario remitirse a elecciones pasadas. En particular, se hará uso de los datos sobre las encuestas realizadas para las elecciones presidenciales del 2012 en Colombia, las elecciones presidenciales del 2016 en Estados Unidos, y las elecciones locales de Bogotá realizadas en el año 2015 (ver Tabla 1).
Tabla 1: Encuestas en diferentes escenarios y su porcentaje de aciertos.
Con base en estos resultados, y lo que se ha venido estudiando sobre la manera óptima en que se deben realizar las encuestas, es posible entender por qué algunas de estas tienden a resultar más acertadas al momento de predecir los ganadores. En términos simples, a medida que se aumenta el tamaño muestral, es cada vez más factible que una encuesta resulte representativa. Como se puede apreciar de manera clara, a medida que aumenta la población, el porcentaje de aciertos incrementa de manera significativa. Ahora bien, es claro que comparar tan pocos resultados puede parecer apresurado al momento de sacar conclusiones. Sin embargo, como se señaló al comienzo del texto, existen cifras que hacen que una muestra sea representativa en cantidad al momento de realizar una encuesta. Así pues, estos son los valores que deberían utilizarse para garantizar la representatividad teniendo en cuenta un margen de error del 3% y una población de 36,024,467 que corresponde al censo electoral colombiano actual (ver tabla 2).
Hasta ahora se han mostrado resultados superficiales sobre las encuestas. Por esto, es necesario analizar a profundidad las relaciones planteadas anteriormente. A partir de datos de 150 encuestas realizadas en las presidenciales norteamericanas del 2016, se obtuvieron correlaciones que brindan información relevante para el objetivo planteado.
Gráfica 1: Correlación entre la falla en la predicción y el tamaño muestral.
En primer lugar, se puede observar que la correlación entre la falla en la predicción (resultado real vs. resultado predicho) y el tamaño de la muestra es negativa (ver Gráfica 1). Lo anterior tiene sentido y demuestra que entre más grande es la muestra, menor es la probabilidad de predecir erróneamente los resultados reales. Además de este resultado, es interesante observar que a partir de 5000 observaciones en la muestra la falla predictiva no es mayor al 5%. Esto recalca la importancia de tener una muestra significativa y representativa. Además, si se hace una encuesta con una muestra muy pequeña se arriesga a tener una falla predictiva muy variable. Por supuesto, la correlación no es del todo limpia, pues las encuestas con demasiadas observaciones podrían considerarse como valores atípicos. No obstante, la relación negativa da algunas luces acerca de la importancia del tamaño de la muestra.
Gráfica 2: Correlación entre la falla en la predicción y el margen de error utilizado.
En segundo lugar, si se observa la correlación entre la falla predictiva y el margen de error trabajado por las encuestas, se encuentra una relación positiva. Lo anterior explica que entre mayor sea el margen de error utilizado, mayor es la probabilidad de predecir erróneamente los resultados. Al igual, se observa que con un margen de error menor al 2% la falla predictiva no es mayor a 5%. Este resultado valida la teoría expuesta y permite formar un criterio más completo a la hora de valorar los resultados mostrados por las encuestas.
Así pues, aunque es claro que todas ofrecen una confianza del 95%, y aun mejor, el error de todas se encuentra dentro de la precisión mínima esperada, aumentar en unos cuantos cientos el tamaño muestral aumentaría significativamente la confiabilidad de las encuestas. Con esto en mente, se podría pensar que, dado el perfil de las encuestas realizadas sobre las elecciones presidenciales venideras, el porcentaje de aciertos de las mismas no superará el 45%, puesto que, aparte de tener un error medio mayor que las realizadas en 2012 y 2015, cuentan con promedios muestrales inferiores.
Tomando en cuenta lo anterior, ¿será necesario empezar a desconfiar de las encuestas publicadas y de quienes las realizan? Probablemente no. Si bien las encuestas tienen altos índices de error, estos pueden deberse a muchos factores, tanto exógenos como endógenos, que terminan por influenciar las predicciones de manera incorrecta. Para minimizar estos problemas, como se señaló anteriormente, resulta crucial contar con muestras superiores a 1849 observaciones y con márgenes de error inferiores a 3%, de manera que, para el caso colombiano, los resultados que se presentan en las encuestas sean representativos de la población que estudian.
En términos generales, y para responder al cuestionamiento que inspiró este artículo, al realizar una aproximación a las encuestas con miras a informarse, resulta necesario proceder con cautela. No solo porque las encuestas no tienen como fin último ayudar a tomar decisiones a los votantes -puesto que la información que tiene este objetivo se encuentra en las propuestas de gobierno de cada candidato-, sino además porque las mismas pueden presentar problemas diversos al momento de su aplicación. Este es el caso de las encuestas realizadas el 17 de mayo y el 25 de mayo del año pasado en relación con el candidato Germán Vargas Lleras, que bajó de 21.2% a 14% en menos de 10 días. Esto puede estar relacionado con que la segunda encuesta contó con una muestra 47% más grande. Además, la primera encuestadora explicó que, para el momento en que se recopilaron los datos, “[La] encuesta no incluyó a algún nombre del Centro Democrático, pues los posibles candidatos de esa colectividad tienen un bajo reconocimiento de los votantes en contraste con los nombres de otros partidos.” (Noticias Caracol, 2017).
En resumen, aunque todas las encuestas que son presentadas por los medios periodísticos en el país cuentan con un margen de error y un nivel de confianza correctos estadísticamente, no por esto se debe creer que sus resultados concuerdan con la opinión pública real. En primer lugar, muchas encuestas utilizan el muestreo aleatorio que, como se explicó anteriormente, este método no asegura que la muestra este distribuida por sectores y por lo tanto los resultados pueden estar sesgados. En segundo lugar, muchos ciudadanos tienen incentivos a responder de forma falsa las encuestas, lo cual puede afectar significativamente los resultados obtenidos por estas. Finalmente, las encuestas son como una fotografía de un momento específico en el tiempo, por lo que vale la pena tener en cuenta que las preferencias de los individuos fluctúan durante el tiempo.
Por lo tanto, resulta necesario optar por entender las encuestas como lo que son: un método estadístico que pretende explicar parte de la realidad. En este sentido, pensar en guiarse por aquel candidato con el mayor porcentaje de favorabilidad para no perder el voto no parece ser la mejor estrategia para realizar un voto de opinión. Más que criticar a las encuestas y desacreditarlas, resulta necesario que sus consumidores entiendan cómo se realizan, a fin de poder valorar la información que entregan y de la misma forma utilizarlas como un mecanismo de información en vez de un mecanismo de desinformación.
[1] Se dice que un estimador es insesgado si la diferencia entre esperanza del estimador y el parámetro es cero. (Wackerly, 2008)
[2] Elecciones Presidenciales 2014. (Creative Commons, 2014)
[3] Elecciones EE.UU. (Anónimo, 2018)
[4] Gran encuesta nacional. (RCN Radio, 2017).
Referencias
Álvarez, F. J. (2010). Tamaño apropiado de muestra para obtención de conclusiones válidas en una investigación. Bogotá: Institución Universitaria CEIPA.
Anónimo. (2018). Encuestas Campaña 2018. Bogotá.
Creative Commons. (2014). Elecciones Presidenciales 2014. Obtenido de Wikipedia: https://es.wikipedia.org/wiki/Elecciones_presidenciales_de_Colombia_de_2014
El Tiempo. (22 de Febrero de 2002). LAS ENCUESTAS SON COMO LAS MORCILLAS. Obtenido de El Tiempo: http://www.eltiempo.com/archivo/documento/MAM-1367161
Gallego, V. M. (2005). LA ENCUESTA ESTADÍSTICA . Madrid: Universidad de Alcalá.
Noticias Caracol. (22 de Mayo de 2017). La Gran Encuesta: colombianos revelan su intención de voto para el 2018. Obtenido de Caracol: https://noticias.caracoltv.com/colombia/gran-encuesta-invamer
RCN Radio. (15 de Diciembre de 2017). La Gran Encuesta: Fajardo y Petro encabezan intención de voto para las presidenciales de 2018. Obtenido de RCN Radio: http://imagenes.canalrcn.com/ImgNoticias/17115286_if_segunda_medicion_gran_alianza_de_medios.pdf?zGsbj3dJ.nn.mM84eHW4DWbmZAzBuvOv
Rincón, D., & Amal, J. (2003). Bases metodologícas de la investigación educativa. Barcelona: Experiencia.
Universidad de Veracruz. (18 de Mayo de 2010). TAMAÑO DE LA MUESTRA. Obtenido de Slideshare: https://www.slideshare.net/guest8a3c19/tamao-de-la-muestra-4142151
Wackerly, D. (2008). Mathematical Statistics. Florida: Duxbury Press.
